|
环氧树脂在钢桶内外涂料上的应用
上海徐工涂料技术有限公司 徐国兴
环氧树脂是指分子结构中含有两个或两个以上环氧基的高分子化合物。它简称为EPR(epoxy resin)树脂,所以有的涂料厂家将环氧树脂制成的涂料称为EPR(epoxy resin)涂料;有的称为EPC(epoxy coating)涂料;也有的称为EPF(epoxy film)涂料。翻译过来就是环氧树脂涂料(EPR);环氧涂料(EPC);环氧涂膜(EPF) ,其实都是一回事。
由于环氧树脂的种类比较多,所以它的化学结构通常以它的通式来体现:

环氧树脂的发明曾经历了相当长的时期。早在1891年,德国的Lindmann用对苯二酚与环氧氯丙烷反应,缩聚成树脂并用酸酐使之固化。但是它的使用价值没有被揭示。1930年,瑞士的Pierre Castan和美国的S.O.Greenlee进一步进行研究,用有机多元胺使上述树脂固化,显示出很高粘接强度,这才引起了人们的重视。广泛地讲,环氧树脂可以从含有链烯基的母体化合物合成,也可以从含有活性氢原子的母体化合物合成。20世纪初首先报导了烯烃的环氧化,但直到20世纪40年代中期,Swern和他在美国农业部的合作伙伴开始研究聚不饱和天然油的环氧化时,此项技术也仅应用于高相对分子质量单环氧化合物的生产。10年之后才应用于环氧树脂合成技术之中。大约在20世纪20年代中期已经报导了双酚A与环氧氯丙烷反应产物,15年后首创了不稳定的环氧化脂肪胺中间产物的生产技术。1933年德国的Schlack[1]研究双酚A环氧树脂同双酚A的分离技术。尽管一年之后Schlack报导了双环氧化合物同有机酸、无机酸、胺和硫醇的反应,但确定双酚A环氧树脂的工业价值的还是瑞士De Trey Freres公司的Castan和美国Devoe&Rayno1ds公司的Greenlee。1936年,Castan生产了琥珀色环氧氯丙烷一双酚A树脂,并同邻苯二甲酸酐反应生产出用于浇铸和模塑制品的具有工业意义的热固性制品。1939年年初Greenlee也独自生产出了高分子质量双酚A环氧氯丙烷树脂并用于高级热固性涂料。1937年到1939年欧洲曾尝试用环氧树脂补牙,但没有成功。除此之外,在第二次世界大战前,没有全面开发环氧树脂技术。战后不久Devoe&Rayno1ds开始试生产涂料树脂,而CIBA公司得到De Trey Freres许可,开始进一步发展液体涂料、层压材料和粘接剂用液体环氧树脂。 然而环氧树脂第一次具有工业价值的制造是在1947年由美国的Devoe-Raynolds公司完成的,它开辟了环氧氯丙烷一双酚A树脂的技术历史,环氧树脂开始了工业化开发,且被认为是优于老的酚醛树脂和聚酯树脂的一种技术进步。这种树脂几乎能与大多数其他热固性塑料的性能相媲美,在一些特种应用领域其性能优于酚醛和聚酯。不久瑞士的CIBA(汽巴)公司、美国的Shell(壳脾)和Dow(道)公司开始了环氧树脂的工业化生产和应用开发工作。20世纪50年代后期,美国的两个主要公司,汽巴和Devoe-Raynolds继续研究缩水甘油醚型环氧树脂,壳牌化学公司只提供环氧氯丙烷,联合碳化物塑料公司首先制造酚醛树脂和双酚A,欧洲汽巴和壳牌集中开发了环氧树脂。
1955年夏季,四种基本环氧树脂在美国获得生产制造许可证,Dow Chemical co.和Reichho1d化合物公司建立了环氧树脂生产线。在普通双酚A环氧树脂生产应用的同时,一些新型的环氧树脂相继问世。如1956年美国联合碳化物公司开始出售脂环族环氧树脂,1959年Dow化学公司生产酚醛环氧树脂。大约在1960年,Koppers,co.生产了邻甲酚醛环氧。在1955~1965年期间,环氧树脂质量明显提高,双酚A环氧树脂已有所有的平均相对分子质量等级的牌号。酚醛环氧确立了明显的耐高温应用的优级性能。1957年有关环氧树脂的合成工艺的专利问世,是由Shell Developmet co.申请的,该专利研究了固化剂和填加剂的应用工艺方法,揭示了环氧树脂固化物的应用。
由于环氧树脂品种的增加和应用技术的开发,环氧树脂在电气绝缘、防腐涂料、金属结构粘接等领域的应用有了突破:于是环氧树脂作为一个行业蓬勃地发展起来;目前它的品种、应用开发仍很活跃,从1960年以来,已有数百种环氧树脂完成工业化开发,已有40~50种不同结构的环氧可商品化制造或由中间试验厂提供,同时与之相适用的100多种工业化固化剂和许许多多的改性剂和稀释剂与之配套,正谓方兴未艾。
中国研制环氧树脂始于1956年,在上海、沈阳两地首先获得了成功。1958年上海、无锡开始了工业化生产。20世纪60年代中期开始研究一些新型的脂环族环氧:酚醛环氧树脂、聚丁二烯环氧树脂、缩水甘油酯环氧树脂、缩水甘油胺环氧树脂等,
环氧树脂具有优良的物理机械性能、电绝缘性能、耐药品性能和粘结性能,可以作为涂料、浇铸料、模压料、胶粘剂、层压材料以直接或间接使用的形式渗透到从日常生活用品到高新技术领域的国民经济的各个方面。例如:飞机、航天器中的复合材料、大规模集成电路的封装材料、发电机的绝缘材料、钢铁和木材的涂料、机械土木建筑用的胶粘剂、乃至食品罐头内壁涂层和金属抗蚀电泳涂装等都大量使用环氧树脂。它已成为国民经济发展中不可缺少的材料。它的产量和应用水平也可以从一个侧面反映一个国家的工业技术的发达程度。
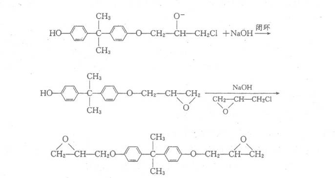
环氧树脂得到最大量应用的莫过于由环氧氯丙烷与双酚A合成的双酚A型环氧树脂,它的合成反应经历四个阶段:
1, 双酚A在氢氧化钠的作用下形成离子

2, 环氧氯丙烷开环与双酚A形成醚键

3,形成醚键的环氧树脂离子在氢氧化钠和过量环氧氯丙烷的作用下形成低分子量环氧树脂:

4,进一步反应形成高分子量环氧树脂.
它的各结构单元赋予树脂以下功能:环氧基和羟基赋予树脂反应性,使树脂固化物具有很强的内聚力和粘接力。醚健和羟基是极性基团,有助于提高浸润性和粘附力。醚健和C-C键使大分子具有柔顺性。苯环赋予聚合物以耐热性和刚性。异丙基也赋与大分子一定的刚性。-C-O-键的键能高,从而提高了耐碱性。如图:
所以,双酚A型环氧树脂的分子结构决定了它的性能具有以下特点:
1)是热塑性树脂,但具有热固性,能与多种固化剂、催化剂及添加剂形成多种性能优异的固化物,几乎能满足各种使用要求。
2) 化学性质很稳定。所以,它的耐化学药品、耐酸碱性能很好。
3)固化物有很高的强度和粘接强度,做成的涂料对金属的附着力是所有涂料中最好的.
4)与多种树脂结合可达到食品卫生要求,所以可做成食品用涂料.
5) 由于这种环氧树脂的环氧基在分子的两端,分子链的内旋阻力较小,所以它的柔韧性较好。
环氧树脂结构中的活泼环氧基和羟基可与多种有机化合物进行交联固化,如: 酚醛树脂、氨基树脂、聚硫醇化合物、异氰酸酯化合物及含羟基(或羟基)树脂、醇酸树脂、聚酯树脂和丙烯酸树脂等。其中酚醛树脂、氨基树脂和含羧(羟)基树脂属于缩聚交联固化剂;异氰酸酯化合物和聚硫醇化合物属于加成型固化剂。
当环氧树脂与这些有机化合物结合做成涂料时,环氧树脂与这些有机化合物交联都能形成牢固稳定的三维网状结构膜,这种涂膜具有突出的耐化学性,良好的机械性能以及对金属出色的附着力,所以环氧树脂被用作钢桶内外涂料,是世界各国历史最悠久,应用最广泛的涂料。
由于环氧氯丙烷与双酚A都是二官能度的化合物,所以-此类的环氧树脂是线形结构的。此种环氧树脂中含有羟基、醚基和很活泼的环氧基。其中羟基和醚基具有很强的极性,使得环氧树脂与相邻的界面产生较强的作用力。因此,将这种环氧树脂应用于钢桶涂料,对钢桶表面具有很强的附着力,而活泼的环氧基则更是赋予涂层和钢桶表面高强度的黏结力。
而且这种环氧树脂的分子链是碳-碳键和醚键结构的,化学性质很稳定。所以,它的耐化学药品、耐酸碱性能很好。另外,由于这种环氧树脂的环氧基在分子的两端,分子链的内旋阻力较小,所以它的柔韧性较好。这对于钢桶行业的内涂料涂装工艺(桶身和桶底、顶分别涂装、烘烤固化,然后再卷合)是非常适合的。
根据环氧树脂的反应性,将各种有机化合物作为它的交联固化剂与其反应成为网状结构膜,就可以在钢桶的内外涂料发挥其优良的作用,并具有各种不同的特性。
一,环氧树脂与氨基树脂反应应用于钢桶的内外涂料_620涂料:
氨基树脂作为环氧树脂的固化剂,其固化反应为氨基树脂的羟甲基,烷氧甲基和亚氨基等基团与环氧树脂的环氧基和羟基进行交联固化。
不同结构的氨基树脂对环氧树脂的固化活性是不一样的,生成的涂膜网络结构也有很大不同.例如:甲醇醚化的氨基树脂比丁醇醚化的氨基树脂形成的涂膜硬度高;完全醚化的氨基树脂比部分醚化的氨基树脂形成的涂膜弹性好;醚化度高的氨基树脂比聚合度高的氨基树脂所形成的涂膜容易产生针孔等等。所以选择什么样的氨基树脂是非常重要的。
620涂料是环氧树脂与特殊的氨基树脂结合的应用于钢桶的内外涂料。这种涂料当以透明无色的形式应用于钢桶内涂料时光亮洁净,涂膜的附着力,耐化学性优异,并且符合食品卫生要求,可用于灌装啤酒,果汁,食用油等食品类液体,也可罐装多种化工腐蚀品;当以各种色彩的形式应用于钢桶外涂料时,耐候性好,色泽鲜艳光亮,并且还抗污染不容易脏,最重要的是能够耐受罐装多种化学腐蚀性液体时飞溅或滴漏在钢桶外涂料表面的腐蚀而完好无损。所以620涂料在很多桶厂既被用于内涂料,也被用于外涂料。
二,环氧树脂与可溶性酚醛树脂反应应用于钢桶内涂料_621涂料:
这种可溶性酚醛树脂主要是以羟甲基和烷氧基和环氧树脂的羟基反应生成网状结构膜的。这种酚醛树脂是由氨催化苯酚和甲醛进行缩聚反应制成的。选用这种酚醛树脂时应注意其羟甲基含量的多少,羟甲基含量少,则与环氧树脂结合生成的涂膜过于柔软,反之则与环氧树脂结合生成的涂膜交联密度高,耐化学性能好。同样用这两种树脂结合制成的涂料也完全符合食品卫生要求。
621涂料烘烤固化后呈十分亮丽的金黄透明色,犹如黄金般金光闪闪,十分美观,而且涂层的颜色可以用烘烤温度的高低或烘烤时间的长短来调节,温度越高时间越长则颜色越深,反之则颜色越浅。用这种涂料内涂的钢桶最适宜盛装各类含硫食品和含酸性食品,也能盛装大多化工液体,实际上这种涂料就是在现在的大多数食品罐头内涂料的基础上加以增强防腐性能而改进的。这种涂料经在上海的一家台资企业送欧洲检测,完全符合欧洲的食品包装涂料标准,所以他们已将这种涂料大量应用于出口欧洲的纯净水包装内涂。
三,环氧树脂与经丁醇醚化的酚醛树脂反应应用于钢桶内涂料_622涂料:
622钢桶内用涂料是国内应用最广泛,历史最悠久的钢桶内涂料,也是出口最多,应用国家最多,口碑最好的钢桶内涂料。正如362酚醛涂料被国外桶厂成功替代国外知名的RDL-50钢桶涂料一样,622环氧涂料被国外多家桶厂替代知名的RDL-44以及2088钢桶涂料。
622涂料利用环氧树脂结构中的活泼环氧基可与多种有机化合物进行交联固化,形成牢固的三维网状结构膜的性质,与经丁醇醚化的酚醛树脂在高温下交联,使得X-622钢桶内用涂料的机械性能、耐化学性能得到很大的加强。这种高温下的交联固化反应只放出三份的水,过程中无其他副产物释放,收缩性小,交联固化后具有很好的牢固的致密的网状结构膜,由此进一步增强了涂层的附着力、机械性能、耐腐性能和耐化学性能。
622涂料有如下特性:
l、622钢桶内用涂料所采用的双酚A缩水甘油醚(DGEBPA)型环氧树脂经过“X-6技术”低粘柔化处理,所以在相同树脂含量的条件下,它的粘度较低,树脂含量的条件下,它的粘度较低,便于一次就能形成较厚的涂膜,有利于钢桶进行一涂一烤的涂装工艺。
2、622钢桶内用涂料中不添加柔软剂。柔软剂是通过加大环氧树脂的分子间隙来实现其柔软的,但在实现柔软的同时,由于环氧树脂的分子间隙的加大,涂膜的防腐性能就受到了影响。而X-622钢桶内用涂料所采用的环氧树脂经过低粘柔化处理,所以即使不添加柔软剂,涂于钢桶后也可随意卷曲。
3、622钢桶内用涂料中不添加增粘剂、流平剂、消泡剂等助剂。由于这些助剂在改善环氧类涂料的涂装性能的同时,对环氧树脂与经丁醇醚化的酚醛树脂交联形成一定的影响,容易造成三维网状结构膜的缺陷,所以最终使得涂料的防腐性能 受到影响。
4、622钢桶内用涂料完全采用经过粒子表面化处理的进口金红石钛白粉作为颜料和填充料,杜绝使用滑石粉、碳酸钙、硫酸钡、锌钡白等廉价颜料和填充料。所以涂膜表面光亮、滑爽,涂膜防腐性能优良。
5、因为622铜桶内用涂料所采用的双酚A二缩水甘油醚(DGEBPA)型环氧树脂中含有极性的是羟基和醚键,能与金属表面游离键形成化学键,所以对钢桶来说是附着最好的涂料。
6、622钢桶内用涂料交联固化后,分子链中碳-碳和醚键的结构稳定性得到了大大的增强,并使涂膜结构更加致密,所以增强了涂膜耐化学腐蚀性能(尤其是耐碱性能) ,使得涂层进一步加强了抗综合介质腐蚀的能力。
7、622钢桶内用涂料固化成膜后,涂膜形成了三维的立体结构,所以涂膜机械强度高、稳定性和绝缘性能也好。
8、622钢桶内用涂料固化成膜后由于其涂膜本身的致密和稳定,造成与其它树脂漆膜之间的附着力不是很好,所以在此涂膜上不宜再涂其它涂料,钢桶内涂若需涂两层的话,第一涂的烘烤应温度低些时间短些。
9、双酚A缩水甘油醚类环氧树脂的通病是耐候性差,受紫外光照射易粉化,所以622钢桶内用涂料不能用作钢桶外涂料。
10、按中国GB4805-1994《食品罐头内壁环氧酚醛涂料卫生标准》环氧酚醛涂料烘烤后的涂层其游离酚和游离甲醛含量应小于每克O.1毫克,但622涂料经上海市预防医学研究院检测竟然未检到,其它指标如蒸发残渣、高锰酸钾消耗量等的安全卫生指标也优于上述国家标准三倍以上。所以622涂料能够通过SGS国际认证,符合美国FDA食品药品用涂料的标准。
四,环氧树脂与多异氰酸酯的加成物反应应用于钢桶内外涂料_623/624涂料
异氰酸酯化合物中的异氰根(-NCO)很容易与环氧基以及羟基化合物反应,由于623/624涂料所采用的环氧树脂中含有大量的羟基,所以即使在常温下,623/624涂料也能固化。
623和624实际上是同一产品,不过一个是透明一个是白色的罢了。这两种涂料都是双组分的,使用时将两个组分混合在一起,在室温条件下就能固化。不过虽然室温条件下十多分钟就能表干,半小时左右就能指干,看上去就象完全固化了一样,但这只是干,而不是固化。室温条件下的完全固化要长达七天左右(其实桶厂钢桶的库存好多要超过七天的);然而如果能够低温烘烤十多分钟的话,就能够完全固化了。
这两种涂料完全固化后具有优越的耐水、耐溶剂和耐化学品性能,所以非常适合没有烘烤条件、产量要求又不高的桶厂生产内涂钢桶。
X-623和X-624涂料的性能接近于X-620涂料,特别是X-623的视觉效果几乎与X-620一模一样,有的桶厂利用其无色透明、抗腐蚀而且常温固化的特点,在钢桶外涂氨基烤漆的桶顶上薄薄的再喷上一层X-623涂料,这样在钢桶灌装腐蚀性化工液体时就不怕损坏漆面了。而X-624白色涂料内涂钢桶后,内壁洁白如雪、平滑如瓷、光亮如镜,犹如内衬了一层整块的白瓷砖。
五,环氧树脂与聚酯树脂反应应用于钢桶内外涂料_625涂料
环氧树脂与聚酯树脂反应应用于钢桶内外涂料的大多是粉末涂料, 在环氧聚酯粉末涂料中,环氧树脂和聚酯树脂两者均既可以互相看作是固化剂,又可以互相看作是成膜物质。这种涂料是欧洲首先发明并实现工业化生产的。原理是环氧树脂中的环氧基和聚酯树脂中的羧基进行等当量的反应,当环氧树脂增多时,反应生成的涂膜耐腐蚀性能以及附着力增强,当聚酯树脂增多时, 反应生成的涂膜流平性,光泽度,耐候性增强。若两者配比不当,则反应生成的涂膜交联密度降低,造成涂膜的机械性能和耐腐蚀性能下降,所以,一般应按照理论值为:G=56100E/A的配比来计算环氧树脂和聚酯树脂的用量(式中,G--100克环氧树脂需配聚酯树脂的用量;A--聚酯树脂的酸值;E—环氧树脂的环氧值) 。
在此涂料中环氧树脂,主要技术指标控制在软化点88~93℃,环氧值在0.11~0.13。而此中的聚酯树脂一般是由多元羧酸、酸酐与多元醇经缩聚和加成反应而制造的。目前常用的聚酯树脂酸值范围为20~85mgKOH/g。
625涂料具有环氧树脂涂料和聚酯树脂涂料的双重优越性能,即具有环氧树脂涂料优异的附着力和防腐性能,又具有聚酯树脂涂料的美观光亮和耐老化功能,所以在钢桶行业既可用于内涂也可用于外涂。
能够与环氧树脂反应的树脂很多,且大多能够制成具有优良性能的涂料,希望在不久的将来能够有更多的这类涂料被开发应用于钢桶上来。
相关链接:
聚氨酯树脂在钢桶内外涂料中的应用
酚醛树脂在钢桶内涂料中的应用
|