|
国内钢桶常用三大内涂料性能比较
上海徐工涂料技术有限公司 徐国兴
作为钢桶内涂料应该具备的最基本性能就是对钢桶基材的附着力强、抗综合介质腐蚀性能优。并且应该考虑到钢桶的制造工艺,因为钢桶内涂料的施工一般都是在底、盖未上之前进行的,所以作为钢桶内涂料应能承受固化成膜后钢桶桶身与底和盖卷合时的卷曲而完好无损。
目前,国内最常用的钢桶内涂料有环氧树脂涂料、聚氟乙烯涂料、酚醛树脂涂料三种。下面就此三种内涂料的性能作分别介绍:
环氧树脂的典型结构为:


环氧树脂涂料是金属的最优良涂料之一,也是国内钢桶行业使用最早、最普遍的内涂料。环氧树脂涂料的主要成膜物之一就是环氧树脂。
环氧树脂是泛指含有二个或二个以上环氧基 并以脂肪族、脂环族或芳香族为骨骼的高分子预聚体当然某些环氧化合物因具有环氧树脂的基本属性,在称呼时也被不加区别地称为环氧树脂,那另当别论。
环氧树脂由于合成时的分子量不同,所以有液态、粘稠态和固态几种形态的物质。它基本上不能单独使用,只有和固化剂反应生成三维结构的不溶不融的聚合物才有应用价值。这种聚合物习惯上又被称为环氧树脂化产物,这种固化产物除了用于环氧涂料外还可用于环氧胶粘剂、环氧层压板等。
环氧树脂的发明,经历了四十年的时间,但直到1947年才由美国的Deve-Reynolds公司工业化生产。我国进行环氧树脂研制始于1956年,沈阳和上海两地率先获得成功。1958年上海首先开始工业化生产。
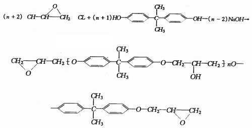
环氧树脂按与环氧基相连基团的化学结构分类,可分为缩水甘油醚型树脂、缩水甘油酯型树脂、缩水甘油胺型树脂、脂环族环氧化合物、线状脂环族环氧化合物以及改性环氧树脂(如元素有机硅、磷环氧树脂和聚氨酯环氧树脂等)我们已在使用的钢桶内涂料所用的环氧树脂是双酚A二缩水甘油醚(DGEBPA)型的树脂,它是由环氧氯丙烷与双酚A在氢氧化钠的存在下聚合而成的:

由于环氧氯丙烷与双酚A都是二官能度的化合物,所以此类的环氧树脂是线形结构的。此种环氧树脂中含有羟基、醚基和很活泼的环氧基。其中羟基和醚基具有很强的极性,使得环氧树脂与相邻的界面产生较强的作用力。因此,环氧类涂料对被涂料物表面具有很强的附着力,而活泼的环氧基则赋予涂层和被涂物表面高强度的黏结力。
环氧树脂的分子链是碳一碳键和醚键构成的,化学性质很稳定。所以,环氧类涂料的耐化学药品、耐酸碱性能很好。另外,由于环氧树脂的环氧基在分子的两端,分子链的内旋阻力较小,所以环氧类涂料的柔韧性较好。这对于钢桶行业的内涂料涂装工艺(桶身和桶底、顶分别涂装、烘烤固化,然后再卷合)是非常适合的。
环氧树脂结构中的活泼环氧基可与多种有机化合物进行交联固化,形成牢固的三维网状结构膜。环氧树脂的这一性质,使得交联固化型的环氧类涂料的机械性能、耐化学性能得到进一步的加强。我们钢桶行业所用的环氧树脂内涂料就是用环氧树脂和经丁醇醚化的酚醛树脂在高温下交联固化的。

这种高温下的交联固化反应只放出三份的水,过程中无其它?丫甲释放,收缩性小,所以此种涂料联固化后具有很好的牢固的致密的网状结构膜,由此进一步增强了涂层的附着力、机械性能、耐腐性能和耐化学性能。
用环氧树脂和丁醇醚化的酚醛树脂在高温下交联固化的钢桶内涂料总的来说有以下特点:
1,因为树脂中含有极性的羟基和醚键,能与金属表面游离键形成化学键,所以对金属来说是附着最好的涂料,当然对其它材料如玻璃、陶瓷、塑料、木材、水泥、纸张、织物等也都有很好的附着力和粘结力;
2,交联网固化后,增强了分子链中碳一碳和醚键的结构稳定性,并使涂膜结构更加致密,所以增强了涂膜耐化学腐蚀性能(尤其是耐碱性能),使得涂层进一步加强了抗综合介质腐蚀的能力;
3,此种涂料固化成膜后涂膜形成了三维的立体结构,所以涂膜机械强度高、稳定性和绝缘性能也好;
4,此种涂料固化成膜后由于其涂膜本身的致密和稳定,造成与其它树脂漆膜之间的附着力不是很好,所以在此涂膜上不宜再涂其它涂料,钢桶内涂若需涂两层的话,第一涂的烘烤应温度低些时间短些:
5,双酚A缩水甘油醚类环氧树脂的通病是耐候性差,受紫外光照射粉化块,所以不能用作钢桶外涂料;
6,用丁醇醚化的酚醛树脂完全固化后的环氧树脂是基本无毒的,完全交联固化的涂膜经大鼠一次口服试验LD50在1500mg/kg以上,经Ames试验呈阴性,证明无致奇、致细胞突变、致癌性,因此此类涂料可用于食品类钢桶的内壁涂装。但是这里说的是完全固化,如果未完全固化的话,那么当然是有毒的,而且涂层的所有性能也得不到体现。反过来,若固化温度过高,则除了涂层焦化而造成原有性能破坏外。还会产生丙烯和氯甲烷等其它有毒气体。所以此类涂料最好以接近其标准的180~182℃40分钟的烘烤条件为好。另外,涂料制造商在生产此种涂料时最好不要添加增塑剂在带来涂层柔软的同时也增大了涂层分子结构中锑分子间距,这造成了涂膜的综合性能下降(尤其是抗腐能力)。其实,只要涂料的配方合理,此种涂料本身就已具备了足够的柔韧性;还有在涂械哮方中除了钛白粉外,不要再加入滑石粉、碳酸钙、硫酸钡等谦价填充料,以免降低此涂料的多种性能。
以上所说的是我们钢桶行业常用的烘烤型环氧树脂涂料,近来还出现了常温固化的双组分环氧树脂涂料。此种涂料采用多异氰酸脂的加成物与高分子量的环氧树脂进行交联反应。
R-CH-OH+R'-NCO→
其中:R为环氧树脂分子长链。R'为多异氰酸酯的加成物。
这种反应可在常温下进行,而且,这种反应是直接的加成反应,反应过程没有副产物释放,收缩性当然更小。所以,其性能与现在钢桶厂所用的烘干型环氧涂料基本相同,对一般的化学物品如596的酒石酸;10 96以下的盐酸、硝酸、乳酸、甲酸、柠檬酸;20%以下的氢氧化钾;30%以下的硫酸;40%以下的氢氧化钠、甲醛;50%以正气磷酸;以及芳烃、脂肪烃、亚麻油酸、椰子油酸、已内酰胺、四氯化碳、醋酸丁酯、盐类、溶剂、油脂、农药、表面活性剂等都具有很好的稳定性。所以用此种涂料作为内涂料的钢桶,使得很多不具备烘烤条件的制桶厂也具有了生产内涂料钢桶的能力,对于已有烘烤设备的单位,也可节约能源,降低成本。
二、聚氟乙烯涂料
我们钢桶内涂料所用的聚氟乙烯(PVF)涂料是氟树脂涂料的一种,而氟树脂涂料的成膜基本都是由氟树脂粉末或分散体烘成型的。
氟树脂是聚合物结构中含有氟原子的树脂的总称。自1934年斯克劳佛(F Schlofer)等发明聚氟氯乙烯以来已经六十多年了。
氟树脂是由含氟单体如四氟乙烯、六氟丙烯、三氟氯乙烯、偏氟乙烯、氟乙烯等单体通过均聚或共聚反应制得的。在最初阶段虽然只有聚四氟乙烯(”rFE)和聚三氟氯乙烯(PCTFE)两个品种,但却已经发现其卓越的综合性能。如耐热、耐低温、耐气候、耐老化、耐污染、耐化学药品、电绝缘性以及非粘生、低摩擦系数等。所以,从一开始就受到人们的高度重视,而将其应用于涂料方面更是占了很大的比重。
氟树脂涂料,从其形态来看,有分散型、瓷漆型、粉末型等。从其功能用途来看可分为防腐、防粘、防磨、耐候等涂料。其应用领域非常广泛,如家用小电器、不粘锅、食品用具、模具、建筑行业、化工防腐、外装饰涂料、透光耐候屋顶等等。现在以被用作涂料的氟树脂有聚四氟乙烯、聚偏氟乙烯、乙烯一四氟乙烯聚物、乙烯一三氟氯乙烯共聚物、四氟乙烯一六氟丙烯共聚物、四氟乙烯一全氟烷基乙烯基醚共聚物以及我们钢桶行业已经用作内涂料的聚氟乙烯等等。
聚氟乙烯涂料用的,聚氟乙烯是氟乙烯的均聚物,分子式为: { HFC-CH2于ri,英文是Polyvinyl fluoride,缩写为PVF,所以我们钢桶行业称为PVF涂料。聚氟乙烯涂料除了特别好的耐候性外,被我们钢桶行业利用的主要是其优异耐化学性能。聚氟乙烯树脂具有特别优良的优皆的耐候性能。它不受大多数沸腾的酸和碱的浸蚀,在110度的温度以下,几科没有溶剂能溶解它;能耐一年之久的试剂有:室温下的20%硫酸及磷酸、硝酸;10%的氯化钠和氢氧化钠;煤油;10%的盐酸;正已烷;苯;12-39%的氢氧铵;丙酮。能耐一个月的试剂有75度以下的磷酸三甲酚;三氯乙烯;甲苯;30%硫酸;9%硫酸钠;10-54%氢氧化钠;5%苯酚;10-30%盐酸;乙醇;醋酸乙酯;10%氢氧化铵;冰醋酸。以上的所谓“耐”的标准是在上述试剂中,暴露后测量其拉伸、冲击强度及伸长率没有变化。
聚氟乙烯树脂在160度的水蒸气中蒸煮60小时,其性能也保持不变;在180度下保温100小时,在沸水中泡煮3880小时,在50度下人工模拟降雨,6KW氙灯照射1000小时,户外暴露450天均无明显变化。用聚氟乙烯薄膜在室外经十年曝晒,也没有什么性质改变;在250度下弯折寿命达七万次,在-17度下弯折寿命也达四万次。
聚氟乙烯涂膜柔韧、耐折、耐磨、耐冷热。抗冲击;而且具有较好的非粘性能,这对于用聚氟乙烯涂料作内涂料的钢桶内装物的卸空和清理是非常有利的,另外聚氟乙烯涂膜还具有极好的防湿、防霉菌、防盐雾性能和卫生无毒,所以还可以用于盛装食品类物品。
我们钢桶行业用的聚氟乙烯涂料是用邻苯二甲酸二甲酯作为潜溶剂兼增塑剂、用环氧树脂做附着增强剂的分散型涂料。它的成膜机理与我们用的其它涂料不同,我们用的一般涂料是靠溶剂的挥发、氧化或是交联等实现固化成膜的,所以烘烤时温度应由低到高,以免一下子高温使涂层表面快速成膜而底层的溶利来不及跑掉,只能随着温度的升高而膨胀以至于最终使涂膜鼓泡或产生针孔Q我们现已使用的聚氟乙烯涂料是靠高温塑化来实现成膜的,而实现塑化只在达到塑化温度才能进行,因此烘烤时应该一下进入高温,以使增塑剂很快获得能量进入聚氟乙烯分子链间实现塑化成膜,不然在没有塑化的情况下,聚氟乙烯在200℃左右时就可分解了,而在235℃时5分钟就剧烈分解炭化。虽然聚氟乙烯涂料中丁甲酸钠作为稳定剂,但在225度下也只能维持5分钟左右。所以在用聚氟乙烯涂料作钢桶内涂烘烤时一定要一下子进入场50度以上的高温使其快速完全塑成膜,然后再维持10分钟左右使作为潜溶剂部分的溶剂及其它挥发成分路掉。
聚氟乙烯树脂在碳-碳分子链上由于只存在一个氟原子,而其它为三个氢原子,它的对称性不好。所以以聚氟乙烯树脂为成膜物钢桶用聚氟乙烯涂料的缺陷是不耐极性较强的化学物品,如丙烯睛、丙烯酸等,也不耐氧化性较强的浓盐酸、浓硫酸、硝酸和氨水;其实还有前文所说的能耐一个月的度剂也不能算是耐,至少在我们钢桶行业来说不能用聚氟乙烯内涂钢桶盛装这些只能耐一个月的产品。另外,聚氟乙烯涂料看似粘度较高,好象很稠,在钢桶内壁喷涂后看上去涂层也好象较厚,其实它的固体含量很低,大约只有24%左右,而涂料配方中的聚氟乙烯树脂更是只有百分之十几,所以烘烤后得到的涂层较薄,并且涂膜容易产生针孔。因此我们钢桶内涂的聚氟乙烯涂料最好喷两涂,以使针孔错位和增加涂层厚度。平时喷涂时最好不要再稀释,若觉太稠不便喷涂的话可用力嗽的方法降低粘度,没有加热条件的话可考虑用碳酸丙烯酯稀释,因为碳酸丙烯酯对聚氟乙烯涂料的稀释效果好些,这样就可用较少的衡释剂下降较大的粘度,以便不要使涂料的固体含量降得更低。
三、酚醛树脂涂料
酚醛树脂是合成树脂中发现最早、并最先实现工业化生产的品种,也是最优秀的防腐材料之一。酚醛树脂的种类很多,我们这里所说的酚醛树脂涂料与钢桶外涂所用的酚醛调和漆所用的酚醛树脂是完全不同的(钢桶外涂所用的酚醛调和漆将在以后“国内常用钢桶外涂料”中介绍)。我们钢桶内涂用的酚醛树脂是热固型的,热固型酚醛树脂是由酚与醛在碱性催化剂的作用下缩聚而成的高分子合成树脂:

在高温下其苯环上具有活性的羟甲基能与树脂中的过量醛交联形成致密的具有网状结构的稳定涂层。所以其防霉、防腐、耐湿、耐油、耐溶剂、耐盐雾、耐化学药品性能优异,并能耐任何浓度的盐酸以及多种有机酸等。而且经高温交联后,酚醛树脂中的亚甲基键具有相当的稳定性能,所以它的耐热性能优于环氧树脂和不饱和聚酯树脂,甚至可以在120℃下长期使用。
酚醛树脂的优异的防腐性能除了其分子所具有的本身特性以外,尤其是靠高温下交联形成的致密、三维的多环网状结构。这种多环网状结构在增强了酚醛树脂的防腐性能的同时,也使它变得较为脆性,这是酚醛树脂的最大弱点。
其它的弱点为:由于其分子结构中存在的苯环,能发生硝化和横化反应,所以它不耐浓硫酸和硝酸等强氧化性酸。另外,还由于结构中存在酚基,这种苯环上的羟基具有弱酸性,它的氢能被钠取代生成水溶性的酚钠产物,所以耐碱性也较差。还有,也不耐熔融酚类产品。
我们钢桶用的酚醛树脂内涂料是PR型的,是以以上所主的热固型酚醛树脂的基础上改进而成的钢桶专用内涂料,经改进后其耐化学性能得到了加强,所以除了以上所说的防腐性能外还能耐农药、氨水、表面活性剂等物品。另外由于PR型酚醛树脂涂料是相对高固体低粘度的,因此每公斤涂料可涂45个200升桶。
总的来说,由于PR型酚醛树脂钢桶内涂料涂层的综合性能较为优异,而且在价格上价格是钢桶内涂料中最为便宜的,所以早巳被广泛用于灌装大多数物品的钢桶内涂层。
最近,接枝型的POA型酚醛树脂涂料也始出现,这种接枝型的酚醛树脂涂料除了具有PR型酚醛树脂涂料的原有性能外还可以耐丙稀晴以及丙稀酸、冰醋酸等有机酸。如果真的可以应用于钢桶的话倒是可以弥补聚氟乙烯内涂钢桶的某些缺陷,并且价格只有每吨一万六左右。另外,据说用多环有机酸进行常温交联固化的双给份酚醛树脂涂料也已在试制当中。若能应用于钢桶的话,对没有烘烤条件的制桶厂来说无疑是个福音。
|